一、神经网络参数优化器
参考曹健《人工智能实践:Tensorflow2.0 》
深度学习优化算法经历了SGD -> SGDM -> NAG ->AdaGrad -> AdaDelta -> Adam -> Nadam
这样的发展历程。
- 上图中f一般指loss
- 一阶动量:与梯度相关的函数
- 二阶动量:与梯度平方相关的函数
- 不同的优化器,实质上只是定义了不同的一阶动量和二阶动量公式
1.2 SGD(无动量)随机梯度下降。
- 最常用的梯度下降方法是随机梯度下降,即随机采集样本来计算梯度。根据统计学知识有:采样数据的平均值为全量数据平均值的无偏估计。
- 实际计算出来的SGD在全量梯度附近以一定概率出现,batch_size越大,概率分布的方差越小,SGD梯度就越确定,相当于在全量梯度上注入了噪声。适当的噪声是有益的。
- batch_size越小,计算越快,w更新越频繁,学习越快。但是太小的话,SGD梯度和真实梯度差异过大,而且震荡厉害,不利于学习
- SGD梯度有一定随机性,所以可以逃离鞍点、平坦极小值或尖锐极小值区域
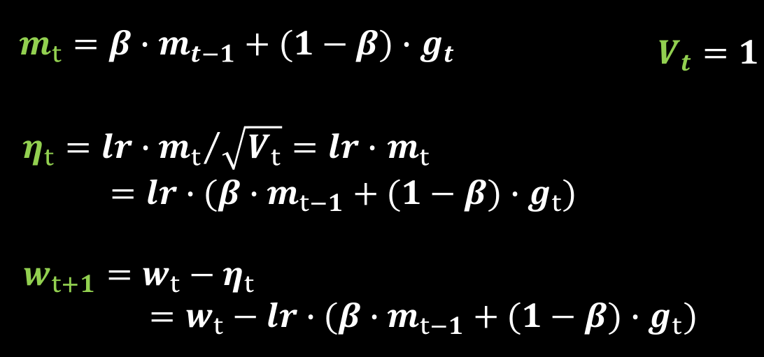
- 最初版本是vanilla SGD,没有动量。$m{t}=g{t},V_{t}=1$(p32—sgd.py)

- 每个bacth_size样本的梯度都不一样,甚至前后差异很大,造成梯度震荡。(比如一个很大的正值接一个很大的负值)
神经网络中,输入归一化。但是多层非线性变化后,中间层输入各维度数值差别可能很大。不同方向的敏感度不一样。有的方向更陡,容易震荡。
vanilla SGD最大的缺点是下降速度慢,而且可能会在沟壑的两边持续震荡,停留在一个局部最优
点
# sgd |
1.3 SGDM——引入动量减少震荡
- 动量法是一种使梯度向量向相关方向加速变化,抑制震荡,最终实现加速收敛的方法。
- 为了抑制SGD的震荡,SGDM认为 梯度下降过程可以加入惯性。如果前后梯度方向相反,动量对冲,减少震荡。如果前后方向相同,步伐加大,加快学习速度。
- SGDM全称是SGD with Momentum,在SGD基础上引入了一阶动量:

- 一阶动量是各个时刻梯度方向的指数移动平均值,约等于最近$1/(1-\beta {1})$个时刻的梯度向量和的平均值。(指数移动平均值大约是过去一段时间的平均值,反映“局部的”参数信息$)。\beta {1}$的经验值为0.9。所以t 时刻的下降方向主要偏向此前累积的下降方向,并略微偏向当前时刻的下降方向。

老师书上写
$\alpha、\varepsilon$是超参数。 - SGDM问题1:时刻t的主要下降方向是由累积动量决定的,自己的梯度方向说了也不算。
- SGD/SGDM 问题2:会被困在一个局部最优点里
- SGDM 问题3:如果梯度连续多次迭代都是一个方向,剃度一直增大,最后造成梯度爆炸
# sgd-momentun |
1.4 SGD with Nesterov Acceleration
- SGDM:主要看当前梯度方向。计算当前loss对w梯度,再根据历史梯度计算一阶动量$m_{t}$
- NAG:主要看动量累积之后的梯度方向。 计算参数在累积动量之后的更新值,并计算此时梯度</font>,再将这个梯度带入计算一阶动量$m_{t}$
- 主要差别在于是否先对w减去累积动量</font>

思路如下图:

首先,按照原来的更新方向更新一步(棕色线),然后计算该新位置的梯度方向(红色线),然后
用这个梯度方向修正最终的更新方向(绿色线)。上图中描述了两步的更新示意图,其中蓝色线是标准momentum更新路径。
1.5 AdaGrad——累积全部梯度,自适应学习率
- SGD:对所有的参数使用统一的、固定的学习率
- AdaGrad:自适应学习率。对于频繁更新的参数,不希望被单个样本影响太大,我们给它们很小的学习率;对于偶尔出现的参数,希望能多得到一些信息,我们给它较大的学习率。
- 另一个解释是:初始时刻W离最优点远,学习率需要设置的大一些。随着学习你的进行,离最优点越近,学习率需要不断减小。
- 引入二阶动量——该维度上,所有梯度值的平方和(梯度按位相乘后求和),来度量参数更新频率,用以对学习率进行缩放。(频繁更新的参数、越到学习后期参数也被更新的越多,二阶动量都越大,学习率越小)</font>

- 优点:AdaGrad 在稀疏数据场景下表现最好。因为对于频繁出现的参数,学习率衰减得快;对于稀疏的参数,学习率衰减得更慢。
- 缺点:在实际很多情况下,频繁更新的参数,学习率会很快减至 0 </font>,导致参数不再更新,训练过程提前结束。(二阶动量呈单调递增,累计从训练开始的梯度)
# adagrad |
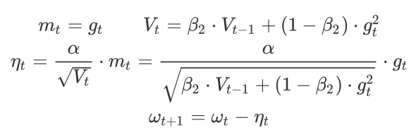
1.6 RMSProp——累积最近时刻梯度
- RMSProp算法的全称叫 Root Mean Square Prop。AdaGrad 的学习率衰减太过激进,考虑改变二阶动量的计算策略:不累计全部梯度,只关注过去某一窗口内的梯度。
- 指数移动平均值大约是过去一段时间的平均值,反映“局部的”参数信息,因此我们用这个方法来计算二阶累积动量:(分母会再加一个平滑项,防止为0)

对照SGDM的一阶动量公式:
# RMSProp |
1.7 Adam
将SGDM一阶动量和RMSProp二阶动量结合起来,再修正偏差,就是Adam。
一阶动量和二阶动量都是按照指数移动平均值进行计算的。初始化 $m{0}=0,V{0}=0$,在初期,迭
代得到的$m{t}、V{t}$会接近于0。我们可以通过偏差修正来解决这一问题:
- ${1-\beta {1}^{t}}、1-\beta {2}^{t}$的取值范围为(0,1),可以将开始阶段$m{t}、V{t}$放大至$\widehat{m{t}}、\widehat{V{t}}$。
- 随着迭代次数t的增加,$\beta {1}^{t}、\beta {2}^{t}$趋近于0,放大倍数趋近于1,即不再放大$m{t}、V{t}$。
# adam
m_w = beta1 * m_w + (1 - beta1) * grads[0]
m_b = beta1 * m_b + (1 - beta1) * grads[1]
v_w = beta2 * v_w + (1 - beta2) * tf.square(grads[0])
v_b = beta2 * v_b + (1 - beta2) * tf.square(grads[1])
m_w_correction = m_w / (1 - tf.pow(beta1, int(global_step)))
m_b_correction = m_b / (1 - tf.pow(beta1, int(global_step)))
v_w_correction = v_w / (1 - tf.pow(beta2, int(global_step)))
v_b_correction = v_b / (1 - tf.pow(beta2, int(global_step)))
w1.assign_sub(learning_rate * m_w_correction / tf.sqrt(v_w_correction))
b1.assign_sub(learning_rate * m_b_correction / tf.sqrt(v_b_correction))1.8 悬崖、鞍点问题
- 高维空间中,一个点各个方向导数为0,只要有一个方向对应的极值和其它方向不一样,该点就是鞍点。鞍点是一个不稳定的点,梯度轻微扰动就可以逃离。
- SGD梯度因为具有一定的随机性,反而可以逃离鞍点
- 例如n维空间中,某点各方向导数都为0。假设其中极大或者极小的概率为0.5,则该点为极大或极小值概率均为$0.5^{n}$,反之为鞍点的概率为$1-2*0.5^{n}=1-0.5^{n-1}$。高维空间中鞍点概率几乎为1。因此不必非要找到极小值,只需要loss降到比较低就行了。
- 梯度裁剪:悬崖部位loss会突然下降,梯度太大W容易走过头,所以可以梯度裁剪,限制梯度最大值。
二、过拟合解决方案
2.1 正则化
- 逻辑回归中,损失函数为$Loss+\lambda \left | W \right |or Loss+\lambda \left | W \right |$。在神经网络中则更加灵活。可以为不同层分别设置L1或者L2正则,且系数$\lambda$也可以不同。即各层正则化项可以完全独立。
- L1正则可以对神经网络剪枝</font >(很多权重趋近于0),网络运行速度可以大大加快。所以对实时要求高的场景可以用L1正则。
- 神经网络中可以设置前层的正则化项系数$\lambda$更大,后层小一些。因为前层面对真实物理信号,噪声较大。为了过滤噪声,W应当较小,$\lambda$更大。且后层面对输出,正则化太厉害,影响分类效果。
2.2 dropout
- Dropout:每次训练时直接随机去除部分神经元。可以达到剪枝的目的,生成新的子网络。所以本质也是一种正则化,类比于L1正则。各层可以独立设置Dropout
- dropout相当于训练大量子网络,预测时使用全部神经元,等同于集成学习,增加泛化能力。
- 降低模型复杂度和各神经元之间的依赖程度,降低模型对某一特征的过度依赖,从而降低过拟合
- 子网络可以是海量的,大量子网络可能没有训练或者就训练一次,但是由于大部分神经元是一样的,少部分才被去除,所以大部分自网络高度相关。而且训练一个子网络,等于主网络大部分参数也得到了更新
- dropout是随机去除神经元,所以发生在$d^{k}=W^{k}\cdot a^{k-1}$加权求和的时候,而不是$a^{k-1}=f(d^{l-1}+w_{0}^{k-1})$激活之后。
- 训练时dropout概率为p,即只有(1-p)个神经元进行计算。则预测时结果要乘以(1-p)
- 跟正则化系数一样,dropout应该是前层设置的高。前层噪声多,需要过滤。后层主要用来精确拟合,dropout过高,影响预测结果。
- dropout可以取代正则,例如训练100个神经元,dropout=0.2;效果好于训练80个神经元。
2.3 Batch Normalization
神经网络学习隐含条件:输入数据有一定的规律,符合一定的概率分布,模型就是学习输入分布和类别之间的映射关系。但是神经网络中,各层输入分布并不稳定:
- SGD训练时,随机选取样本,造成分布的差异,即$\mu /\sigma$都不一样
- 前层权重W的变化造成后层输入的变化,进而导致后层最优的参数W变化。即使后层参数已接近最优,也要重新学习,造成网络不稳定。后层分布累积了前层所有的W,所以不同轮次输入分布差异很大,学习速度会很慢
即训练样本数据本身是符合一定的概率分布的,但是因为以上两个原因,造成每个batch训练时概率分布差异很大。
对于一个batch的数据,第l层第m个神经元来说:
- 计算神经元在一个batch样本的输入$d_{i,m}^{l}$的均值和方差,将数据分布转为标准正态分布
- 通过两个待学习参数$\beta{1} ,\gamma {1}$,将标准正态分布调整至$N(\beta{1} ,\gamma {1})$。
BN的作用:
- 使输入数据对应的概率分布保持不变(不是数值不变)。无论训练集数据如何选择,前层网络参数如何变化,各层接受的输入分布在不同的训练阶段都是一致的,各层最优参数稳定,提高了收敛速度
- 不容易受极端数据影响,所以可以提高学习率,使收敛速度进一步提高。
- 降低对参数初始化的依赖程度
- 对参数进行正则化,提高了模型泛化能力
其它注意点:
- batch_size不宜过低,否则均值方差估计不准
- 预测时没有批量的概念,都是对单个样本进行预测,无法进行BN操作计算$\mu /\sigma$ 。所以要保存训练中计算的$\mu /\sigma$ ,预测时使用它们进行无偏估计(公式中t表示当前迭代次数,T为总迭代次数)
- BN的位置在激活函数之前。因为将输入转换为正态分布$N(\beta{1} ,\gamma {1})$的前提是输入数据本身符合正态分布。而神经网络中激活函数的值域往往有限,造成激活后的输出不会符合正态分布。这样BN之后也不会符合正态分布。
2.4 Layer Normalization
- Batch Normalization:在某一个神经元,所有batch个样本上进行归一化,即归一化不同样本的同一特征
- Layer Normalization:对某一个样本,同一层全部神经元上进行归一化,即归一化一个样本所有特征
- BN和LN都可以用的时候BN一般更好,因为不同数据,同一特征得到的归一化结果更不容易造成信息损失。LN会造成神经元耦合。
- batch_size过小的场合,或者RNN、LSTM、Attention等变长神经网络一般使用LN。(变长神经网络虽然填充到同一长度,但是pad部分是没有意义的,进行特征维度归一化也没用实际意义。NLP任务中一个序列的所有token都是同一语义空间,进行LN归一化有实际意义)
对于l层第i个样本有:(l层共有m=1、2、……$M^{l}$个神经元)
计算出$\mu /\sigma$后,和BN一样将数据归一化为$N(\beta{1} ,\gamma {1})$分布。
综合之前的讲解:
model.train()的作用是启用 Batch Normalization 和 Dropout。model.eval()的作用是不启用 Batch Normalization 和 Dropout。
